Shadow banking in Europe
The shadow banking system has become an important funding source for the real economy over the last two decades. In 2018, its total assets amounted to almost EUR 41.9 trillion in EU countries and EUR 34.5 trillion in euro area countries, accounting for more than 40% of the assets of the financial sector as a whole (ESRB, 2019). Total shadow banking assets more than doubled between 2000 and 2008, and similar growth can be observed in 2009–2018 (see Chart 1). Shadow banks are financial intermediaries that conduct maturity, credit and liquidity transformation without access to central bank liquidity or public sector guarantees. This is a very simplified broad definition of shadow banking[1]. A classification and an overview of the definitions can be found in Hodula (2018). In this context, the European Systemic Risk Board, for example, defines shadow banking as the sum of the assets of investment funds, money market funds and other financial intermediaries, such as corporations engaged in leasing, factoring or hire purchase.
Chart 1: Shadow banking assets in Europe

Note: Shadow banking assets are calculated using the ESRB’s broad definition as the simple sum of the assets of other financial intermediaries (ESA S.125), investment funds (ESA S.124) and money market funds (ESA S.123).
In two papers of mine published on the CNB’s research papers webpage, I focus on analysing the main factors that have contributed to the growth in shadow banking in EU countries and on the relationship between the ECB’s monetary policy and shadow banking in euro area countries[2].
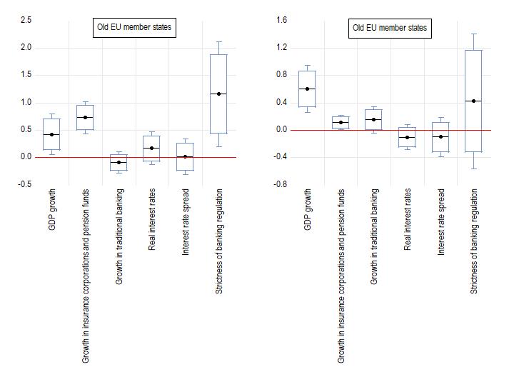
The first paper shows that the growth in shadow banking in EU countries is associated mainly with growth in the real economy and growth in the assets of insurance corporations and pension funds[3]. The first relationship suggests that shadow banking, like traditional banking, tends to be procyclical, booming in good times and falling steeply in bad times. This is a challenge for regulatory and supervisory institutions safeguarding financial stability. The procyclical effect of shadow banking is manifested mainly in the provision of short-term liquidity to financial markets at times of market optimism. Nevertheless, this may halt in periods of increasing uncertainty, fostering a sharp rise in market vulnerabilities. The other relationship suggests that shadow banking entities, insurance corporations and pension funds are highly interconnected at the EU level. For example, besides providing traditional insurance services, some insurance corporations may also enter into derivative transactions or underwrite collateralised debt obligations to invest their cash. Some pension funds invest in securities issued in securitisation processes, such as asset-backed securities and collateralised debt obligations. The paper also points to differences in shadow banking between new and old EU countries. Chart 2 shows that in the old member states, there is a strong regulatory arbitrage incentive, which is a result of strict regulation of traditional banking (see “Strictness of banking regulation” in Chart 2). Finally, the paper shows that some shadow banking entities may serve as substitutes for traditional banking products (e.g. entities providing financial leasing and hire purchase services and products of investment funds), while others serve as complements (entities engaged in securitisation).
Chart 2: Estimated factors of growth in shadow banking in EU countries

Note: The mean (the black line with the dot) represents the estimated coefficients for the individual variables. The box with lines going vertically upward and downward from the central part represents the 95% confidence interval. The full estimation results are shown in Table 2 in the related paper.
The other paper shows that the growth of shadow banking in the euro area can be explained to some extent by two motives that determine the behaviour of economic entities – the funding cost motive and the search for yield motive. The paper answers the question of why the shadow banking system grew faster than traditional banking in the euro area between 2000 and 2018 regardless of the level of interest rates in the economy. The results suggest that the funding cost motive played a greater role in the run-up to the global financial crisis (pre-2008), and the substantial growth in shadow banking assets was thus fostered, among other things, by monetary policy tightening (see the left-hand panel of Chart 3). Although the ECB’s interest rate increases successfully slowed growth in traditional banking, it boosted growth in shadow banking owing to general efforts to circumvent the high funding costs. The funding cost motive thus suggests a positive empirical relationship between monetary policy actions and growth in shadow banking. On the other hand, the search for yield motive started to play a greater role after the global financial crisis (post-2008), as central banks’ monetary policies pushed interest rates and yields to all-time lows. The empirical link between monetary policy and traditional banking weakened considerably, while the relationship with shadow banking turned negative (see the right-hand panel of Chart 3), i.e. the post-crisis monetary policy easing caused massive inflows into investment funds as a result of search for yield induced by persistently low interest rates. The search for yield motive thus introduces a negative relationship between monetary policy actions and growth in shadow banking.
Chart 3: Estimated regression relationship between the ECB’s monetary policy conditions index and individual components of the financial system

Note: TB = traditional banking; SB = shadow banking; OFIs = other financial intermediaries, IFs = investment funds. The mean (the black line with the dot) represents the estimated coefficients for the individual variables. The box with lines going vertically upward and downward from the central part represents the 95% confidence interval. The full estimation results are shown in Tables 2 and 4 in the related paper.
The two papers’ findings have wider implications for the current debate on the relationship between financial stability and monetary policy. The procyclicality of shadow banking may influence the discussion about macroprudential policy. The increasing importance of shadow banking may to some extent limit the effectiveness of banking regulation tools. The strong link identified between shadow banking and pension funds and insurance corporations points to a need to create a framework for testing the interconnectedness of financial institutions at the EU level. The findings regarding the relationship between monetary policy actions and shadow banking complement the debate on the role of monetary policy in maintaining price and financial stability. The empirical findings indicate that there is a search for yield channel through which monetary policy may influence the stability of the financial system, a channel that other studies also draw attention to (Jiménez et al., 2014; Maddaloni and Peydró, 2011; Borio and Zhu, 2012). The papers’ findings thus support the existing literature recommending coordination between monetary policymakers, regulatory and supervisory institutions and macroprudential authorities (for more, see, for example, Frait and Malovaná, 2017).
Borio, C. and H. Zhu (2012). Capital Regulation, Risk-Taking and Monetary Policy: A Missing Link in the Transmission Mechanism? Journal of Financial Stability 8(4), pp. 236–251.
ESRB (2019). EU Non-Bank Financial Intermediation Risk Monitor 2019. Frankfurt: European Systemic Risk Board.
Hodula, M. (2018). Off the Radar: Exploring the Rise of Shadow Banking in the EU. CNB Working Paper No. 16/2018.
Hodula, M. (2019). Monetary Policy and Shadow Banking: Trapped between a Rock and a Hard Place. CNB Working Paper No. 5/2019.
Jiménez, G., Ongena, S., Peydró, J.-L. and J. Saurina (2014). Hazardous Times for Monetary Policy: What do Twenty-Three Million Bank Loans Say about the Effects of Monetary Policy on Credit Risk-Taking? Econometrica 82(2), pp. 463–505.
Maddaloni, A. and J.-L. Peydró (2011). Bank Risk-Taking, Securitisation, Supervision and Low Interest Rates: Evidence from the Euro-area and the U.S. Lending Standards. Review of Financial Studies 24(6), pp. 2121–2165.
Malovaná, S. and J. Frait (2017). Monetary Policy and Macroprudential Policy: Rivals or Teammates? Journal of Financial Stability 32, pp. 1–16.
OECD (2015). Regulation of Insurance Company and Pension Fund Investment. OECD Report to G20 Finance Ministers and Central Bank Governors, September 2015.
[1] The definitions of shadow banking can be split into two groups: broad and narrow. The broad definitions define shadow banks as a set of non-bank financial intermediaries that are involved in financial intermediation, maturity transformation and liquidity transformation. The narrow definitions focus solely on the entities that engage in financial intermediation.
[2] The share of shadow banking in total financial sector assets in the Czech Republic is currently very low compared with Western economies (about 20% at the end of 2018).
[3] Assets of insurance corporations and pension funds are generally not considered to be part of shadow banking, as these entities are regulated and supervised to a greater extent (OECD, 2015).