Jakým způsobem se počítají průměrné devizové kurzy?
Kromě denních kurzů devizového trhu publikuje Česká národní banka také průměrné devizové kurzy za jednotlivé měsíce, kumulované měsíce, čtvrtletí a roky. Zveřejněná hodnota je aritmetickým průměrem z denních kurzů vyhlášených pro dané období. Průměrné kurzy za uvedená období se zveřejňují současně se zveřejněním posledního denního kurzu spadajícího do příslušného období.
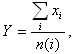
| Matematické vyjádření: | ![]() |
Y......výsledný průměrný kurz za dané období;
x i......kurz vyhlášený pro pracovní den i;
n(i)....počet pracovních dnů i v daném období.
Nejsou-li k dispozici všechny denní kurzy příslušné měny za dané období (tj. pokud kurz nebyl v nějakém období uváděn v kurzovním lístku ČNB), průměrný kurz se nevypočte a do příslušného pole tabulky se neuvede žádná hodnota.
